
영상이미지 기반 착의량 산출 모델 적용에 따른 실내 PMV 제어 및 열쾌적 평가
ⓒ 2022. KIEAE all rights reserved.
Abstract
This study aims at evaluating the thermal comfort of occupants using a PMV (predicted mean vote)-based HVAC (Heating, ventilation, and air conditioning) controls with dynamic clothing insulation estimated from occupant image. The contribution of this study is to highlight 1) the estimation method for the insulation of clothing ensembles that can appear in various ways inside a building, and 2) the effect of PMV-based control reflecting dynamic clothing insulation on the actual thermal comfort.
For the comparison, three control methods (Mode 1-3) including the typical control methods were applied and analyzed in terms of the room temperature, PMV, and subjects’ TSV (Thermal sensation vote). For the experiment, a Test-bed equipped with environmental sensors and camera sensors was built. A total of 6 subjects were experimented for 40 minutes per one clothing ensemble.
Although estimating error of the dynamic clothing insulation occurred in some clothes of the female subjects, it was confirmed that, nevertheless, the PMV-based control reflecting the dynamic clothing insulation (Mode 3) was able to create a more comfortable environment than other control methods. Therefore, this study emphasize the potential of promoting customized comfort environment to the occupant through vision-based dynamic clothing insulation.
Keywords:
Thermal Environment, Thermal Comfort, Predicted Mean Vote, Clothing Insulation키워드:
온열환경, 열쾌적, 예상평균온열감, 착의량1. 서론
재실자의 열쾌적은 실내 열환경 제어의 주된 목적이며, 건물 설비 시스템은 열쾌적을 만족하도록 제어되어야 한다[1][2]. 열쾌적은 환경변수뿐만 아니라 재실자의 심리적, 생리적 요인에 의해서도 영향을 받는다[3][4]. 이에 따라, 최근 재실 인원[5][6], 활동[7][8], 의복[9] 등 재실자 정보를 고려하는 재실자 중심 제어(occupant-centric control)를 위한 연구가 활발히 수행되고 있으며[10][11], 이러한 방법 적용을 통해 부적절한 시스템 가동 방지, 재실자 맞춤 온도 설정 등 건물 에너지 성능 저감을 도모할 수 있다[12][13].
재실자의 열쾌적을 정량적 수치로 표현한 지표 중 예상평균온열감(predicted mean vote, PMV)은 실내온도, 상대습도, 기류속도, 평균복사온도와 같은 환경변수 외에도 개인변수인 활동량(metabolic rate)과 착의량(clothing insulation)을 변수로 고려한다[14]. 착의량은 재실자가 입고 있는 의복의 단열값을 의미하며[15], 의복 종류, 재질 및 의복조합 등에 의해 값이 달라지는 동적 변수이다(1.0 clo = 0.155m2K/ W). 따라서, 정확한 PMV 산출을 위해서는 동적 착의량을 측정할 수 있는 방법이 수반되어야 한다.
하지만, 실제 건물에서 사람이 입고 있는 의복의 착의량 값을 재실자의 개입을 요구하지 않고 객관적으로 산출하기는 한계가 있다. 그 이유로 정확한 착의량 측정을 위해서는 써멀 마네킹(thermal mannequin)과 같은 고가의 장비를 이용해야 하며, 온열환경 제어가 가능한 환경 실험실 조건에서 측정되어야 한다는 점에서 일반적인 건물 내부의 수많은 의복 착의량을 측정하기는 어렵기 때문이다. 따라서, 기존 열환경 제어방법은 건구온도만 고려해 온도 설정값으로 제어하거나, PMV를 제어변수로 활용하더라도 개인변수는 재실자의 상황을 가정하여 고정값으로 처리하는 접근 방법을 주로 사용했다[16-18]. 착의량은 주로 계절로 구분하여 여름철 0.5 clo, 겨울철 1.0 clo를 고정값으로 사용했으나[15][19], 이는 실제 재실자의 열쾌적과 차이를 보이기 때문에 불쾌한 환경을 조성할 수 있다.
시뮬레이션을 통해 동적 착의량 정보를 반영한 PMV 기반 제어 시 재실자의 열쾌적 향상이 가능함을 보여준 연구도 다수 수행되었다[9][20][21]. 주로 동적 착의량은 스케줄 기반 혹은 환경변수를 통한 방정식 모델을 사용했으며, 이를 토대로 PMV 기반 제어 수행 시 고정 착의량을 사용하던 기존 제어방법 대비 재실자의 열쾌적 향상이 가능함을 확인했다.
하지만 실제 현장에서는 재실자의 정확한 의복 정보를 기반으로 실시간 동적 착의량을 측정하는 방법이 필요하며, 이를 위한 다양한 연구가 수행되고 있다[22-29]. de Carvalho(2013)는 현재 및 과거의 외기온도를 변수로 착의량을 추정하는 회귀모델을 개발하였으며, Schiavon(2012)와 Lee(2014)는 실외온도 및 작용온도를 변수로 착의량을 예측하는 회귀모델을 개발하였다[22-24]. 하지만 개발된 모델은 정확도가 낮고 실시간 착의량을 산출하는 방법이 아닌 일평균 착의량을 추정하는 접근 방식으로 실시간 열환경 제어에 적용하기 어렵다.
환경변수를 통해 일평균 착의량을 추정하는 방법에서 나아가 비접촉식으로 동적 착의량을 직접 측정하기 위해 vision 및 카메라 센서를 통한 이미지 기반의 연구도 수행되었다. Lu(2018)는 실시간 착의량 산출을 위해 적외선 vision 센서를 이용하였으며, 피부온도, 의복 표면 온도를 측정하고 착의량 산출식을 통해 값을 도출하지만, 의복별 정확도 차이가 크게 발생하였다[25]. Lee(2016)는 적외선 카메라를 통해 비접촉식 실시간 착의량 측정 알고리즘을 제안하였으며, 얼굴 피부온도, 의복 상·하의 표면 온도 측정값을 토대로 봄·가을, 여름, 겨울의 대표 착의량을 산출한다[26].
적외선 카메라는 대상과의 거리에 따라 측정 오차가 발생하기 때문에 실내에서 다양하게 움직이는 재실자를 대상으로 사용하기에 한계가 있다[21][22][27]. 이러한 한계를 극복하고 현장 적용 시 재실자의 행동에 제약을 주지 않으며 동적 착의량을 산출하기 위해 영상이미지를 사용하는 연구가 지속적으로 수행되고 있다. Matsumoto(2011)는 이미지로 개별 의복의 무게를 추정하여 착의량을 산출하는 모델을 개발[28]하였고, Choi(2021)는 사람의 전신 이미지를 통해 5가지 의복조합을 분류하였다[29]. 각 모델은 평균 72%, 86% 정확도를 보이며 이미지를 사용한 실시간 동적 착의량 산출 및 이를 기반으로 한 PMV 기반 제어의 가능성을 보여준다.
하지만, 실제 현장에서 발생할 수 있는 다양한 의복조합에 대한 실시간 대응을 위해서는 상의, 하의, 드레스 등과 같이 개별 의복을 감지하고 실내에서 발생 가능한 다양한 의복조합에도 유동적으로 착의량을 산출할 수 있는 방법이 필요하다. 또한, 현장 실험을 통해 산출된 동적 착의량을 반영한 PMV 기반 제어 시 열환경 및 재실자의 쾌적 만족도 평가를 통해 실제 건물로의 적용성을 분석하는 연구도 필요하다.
이에 본 연구는 실내 영상이미지를 통해 재실자의 동적 착의량을 산출하고 이를 토대로 PMV 기반 열환경 제어를 수행해 실제 재실자의 열쾌적 향상 가능성을 확인하고자 한다. 이를 위해 실내환경을 모사한 Test-bed를 구축하고 착의량 산출 모델을 적용한 PMV 기반 제어 알고리즘을 통해 실내온도를 제어한다. 제안된 PMV 기반 시스템 제어의 열환경 평가를 위해 기존에 보편적으로 사용되는 제어방법인 건구온도(dry-bulb temperature, DBT) 기반 제어 및 고정 착의량 값을 적용한 PMV 기반 제어방법을 대조군으로 적용해 실험을 수행하였다. 본 실험은 9~10월에 진행되어 냉방 시스템 제어로 한정되며, 단일 재실자를 대상으로 수행하였다.
2. 연구 방법
2.1. Test-bed 구축
열환경 제어 실험을 위해 서울시 동작구에 위치한 대학교 공과대학 건물 내부에 Test-bed를 구축하였다. 실험실은 두 개의 실로 구획되어 있으며 실 내부 사이즈는 2.7×2.0×2.2m이다. 각 실험실에는 Fig. 1.과 같이 패키지형 Heat Pump 냉난방기기와 실내 환경변수 측정을 위한 통합센서, 재실자의 착의량을 산출하기 위한 카메라 센서가 설치되어 있다. 또한, 열환경 제어 시 냉난방기기의 작동 신호를 송신하기 위해 적외선 센서(IR sensor)를 냉난방기기와 0.5m 떨어진 위치에 설치하였다.
실내에 설치된 측정 센서는 모두 싱글 보드 컴퓨터의 일종인 Raspberry Pi 및 Arduino에 연동 가능한 기기를 사용했으며 각 센서의 정보는 Table 1.에 제시하였다. 환경변수인 건구온도, 상대습도, 평균복사온도, 기류속도는 Arduino 기반의 센서로 측정되며 통합 모듈로 제작해 바닥에서 약 1.2 m에 위치하도록 설치하였다. 실내 영상이미지는 Raspberry Pi 기반의 카메라 센서를 통해 수집하며 두 대의 센서를 실내 양 측면 약 1.8 m 높이에 좌·우 각도로 이미지를 수집하도록 설치하였다(Fig. 2.).
환경변수 통합센서 및 카메라 센서는 15초 간격으로 데이터를 수집하고 수집된 데이터를 중앙 서버로 전송하여 착의량 산출 및 PMV 제어 신호 처리를 수행한다. 서버에서 출력하는 냉난방기기 작동 신호는 적외선 센서로 송신되어 실내 열환경 제어를 수행하도록 구축되었다.
2.2. 동적 착의량 산출 모델
저자의 선행연구를 통해 개발된 착의량 산출 모델은 실내 영상이미지를 기반으로 동적 변수인 사람의 착의량을 산출하는 신경망 모델이다[30]. 해당 모델의 주요 특징은 사람이 입고 있는 의복의 상의, 하의를 구분하여 개별 의복을 감지할 수 있고 감지된 의복의 전체 조합의 착의량을 출력한다. 이로 인해 실내에서 발생할 수 있는 다양한 의복조합에도 유동적으로 착의량 산출이 가능하다는 점이 특징을 가진다.
모델은 합성곱신경망(Convolutional Neural Network, CNN) 기반 모델인 YOLOv5[31] 네트워크를 토대로 개발되었다. 모델의 개발 과정은 Fig. 3.과 같이 진행되었으며, 인터넷 및 실험실에서 수집한 다양한 의복 영상 이미지를 학습한 모델이다. 개발된 모델은 카메라 센서를 통해 수집된 영상 이미지를 train dataset으로 사용하여 이미지 속 사람이 입고 있는 16가지 개별 의복(garments) 종류를 감지 및 분류할 수 있다. 수집된 데이터 중 15%의 데이터는 test dataset으로 모델의 평가를 위해 사용되었으며, 실제 건물 환경에 대한 모델의 적용성을 평가하기 위한 Mock-up 실험으로 모델의 착의량 산출 성능을 확인하였다.
16가지의 개별 의복을 분류함에 있어 학습된 모델은 train dataset 기준 96.2%, test dataset 기준 89%의 정확도를 보였다. 하지만 실제 개발된 모델이 실내환경에 적용될 경우 재실자의 의복조합(ensemble)에 대한 착의량을 산출해야 한다. 예를 들어, 반팔 티(T shirt)-반바지(walking shorts), 반팔 티(T shirt)-긴바지(trousers)와 같이 하의만 다르더라도 개별 의복 인식을 통해 사람이 입고 있는 다양한 의복조합의 전체 착의량을 파악해야 한다. 개발된 모델은 개별 의복의 착의량 합계에 보정계수를 적용한 ISO 9920[32]의 식 (11)을 사용하여 의복조합의 착의량 산출이 가능하다. 실제 환경에서는 순간적으로 분류된 의복 정보를 축적하여 일정 제어 기간에 해당하는 대표 착의량을 산출해야 하며, 이는 Mock-up 실험을 통해 평가되었다. 그 결과, 개별 의복이 아닌 재실자의 상/하의 의복조합에 대한 대표 착의량 산출 결과 평균 절대 오차(mean absolute error, MAE)는 0.027 clo 수준으로 낮게 나타났다. 즉, 개발된 모델은 기존 연구대비 더 다양한 의복을 감지 및 분류할 수 있으며 사람이 입고 있는 다양한 의복조합의 착의량 산출에 유연하게 접근이 가능한 모델이다.
이처럼 착의량 산출 모델은 실험실에 설치된 두 대의 카메라 센서를 통해 실내 이미지를 15초 간격으로 받아와 실시간으로 재실자가 입고 있는 개별 의복 감지 및 의복 종류별 분류과정을 반복적으로 수행한다. 시스템 제어를 위해 분류된 의복 정보를 수집하고 제어 기간에 가장 빈도가 높은 의복조합을 결정해 착의량을 제시한다. 본 실험에서 시스템의 제어 간격은 10분으로 설정하여 10분마다 재실자의 동적 착의량을 출력하고 PMV 산출에 적용한다.
이때 의복의 조합(ensemble)에 따라 착의량(Icl) 값은 달라질 수 있으며, 본 실험에서는 Table 2.와 같이 실내에서 일반적으로 착의되는 상의(T shirt, short sleeve shirt, long sleeve shirt), 하의(walking shorts, trousers), 외투(suit jacket)를 포함하는 5가지 종류의 의복조합(E1~E5)을 선정하였다. 선정된 의복조합의 착의량은 ISO 9920[32]의 기준을 토대로 값을 산정하였으며 속옷, 신발, 양말은 기본적인 착의 상태로 가정하였다. 실험에 사용된 의복은 단열 값에 맞도록 재질, 두께를 고려하여 준비하였다.
2.3. 열환경 제어방법
본 연구에서는 열환경 제어변수(control variable)에 따른 실내환경 피드백 제어를 수행하였다(Fig. 4.). 선정한 제어변수의 측정값과 제어 설정값(set point)을 비교하고 편차를 줄이도록 조절부(controller)에서 실내온도 제어 신호를 설정한다. 설정한 제어 신호를 적외선 센서로 Test-bed의 실내 냉난방기기에 송신하여 실내온도를 조절하는 제어를 수행한다.
제어변수에 따른 세 가지 제어 방법(Mode 1~3)은 Table 3.과 같이 설정하였다. Mode 1, 2는 기존에 보편적으로 적용되는 열환경 제어방법으로, Mode 1은 DBT를 제어변수로 활용하며 실내온도 25℃를 제어 설정값으로 한다. DBT를 제어변수로 사용하기 때문에 개인변수인 착의량은 고려하지 않는다. Mode 2, 3은 PMV를 제어변수로 사용하며 열적으로 중립 상태를 의미하는 PMV 0을 제어 설정값으로 적용하였다. Mode 2의 경우 PMV 산출 시 환경변수는 센서를 통해 검출된 값을 반영하지만, 착의량은 고정값인 0.5 clo를 일괄 적용한다. Mode 3은 측정된 환경변수 및 착의량 산출 모델을 통한 동적 착의량을 기반으로 계산된 PMV 값을 제어변수로 사용한다. Mode 2, 3의 경우 재실자의 활동량은 앉아있는 자세에 해당하는 1.0 met으로 가정하였다[15].
실험에 적용된 제어 프로세스는 Fig. 5.와 같으며 제어 간격은 10분으로 설정하였다. 데이터 수집 단계에서 모든 데이터는 15초 간격으로 수집되며, 실내 구축된 환경 통합센서를 통해 실내온도, 상대습도, 평균복사온도, 기류속도 값과 카메라 센서를 통해 실내 이미지를 수집한다. 10분 동안 총 40개의 환경데이터와 80개의 이미지 세트가 중앙 서버에 저장된다.
이때 저장된 데이터는 Table 3.의 제어 Mode에 따라 처리되며, Mode 1은 DBT를 제어변수로 활용하므로 냉방 기간의 설정온도인 25℃로 제어한다. Mode 2와 3은 측정된 데이터 및 설정된 착의량 값을 토대로 PMV를 산출하는 과정을 추가로 수행하고 PMV 설정값인 0에 가까워지도록 다음 제어 step의 적정 실내온도를 도출한다. 각 제어 Mode 별로 도출된 실내온도 제어 신호를 냉방기기에 송신하여 실내 냉난방 시스템 제어를 수행한다.
이러한 제어 프로세스를 토대로 실험은 2021년 9월 23일~10월 14일까지 약 3주간 진행되었다. 피실험자는 하나의 의복조합에 대해 40분씩 실험을 수행하게 되며 활동량을 1.0 met로 고정하기 위해 실내에서 앉은 자세로 읽기(reading), 글쓰기(writing)과 같은 활동을 유지하였으며, typing(1.1 met)과 같은 행동은 제한되었다. 전체 의복조합에 대해 총 200분의 시간이 소요되고 하루에 한 가지 제어 Mode를 수행해 총 3일간 실험을 수행하였다. 실내 냉난방기기는 10분마다 제어 신호를 받아 40분 동안 총 3번의 온도 제어를 수행하며, 처음 10분의 기간은 피실험자의 의복 및 열환경 적응 시간으로 보고 열쾌적 평가 시 제외하였다.
2.4. 피실험자 선정
피실험자는 Table 4.와 같이 남자 3명, 여자 3명으로 총 6명이 모집되었으며 20대 성인으로 구성된다. 모든 피실험자의 BMI는 WHO 기준 정상 범위에 해당한다. Table 4.의 Thermal sensation은 열쾌적 측정 실험에 앞서 피실험자 간의 상대적인 온열감 차이를 확인하기 위해 5분 동안 수행한 선행실험의 결과로, 각 피실험자가 느끼는 온열감을 나타낸 것이다. 이때 선행시험의 조건은 0.5 clo에 해당하는 반바지(walking shorts)와 반팔 셔츠(short sleeve shirt)를 입고 25℃로 설정된 실험실에서 5분 동안 앉아있는 것이며 1분마다 총 5번의 TSV 설문을 통해 최빈값을 해당 실험자의 상대적 온열감으로 작성하였다. 두 명의 여성 피실험자(B, E)는 약간 추움(-1)을 느끼며, 이를 제외한 모든 피실험자는 해당 조건에서 쾌적함(0)을 느낀 것으로 나타났다.
실험 중 피실험자의 열쾌적은 TSV 지표 기반 설문조사를 통해 조사되었다. 설문조사 항목은 ASHRAE 55에서 제시하는 항목을 사용하였으며 재실자가 느끼는 온열감과 불쾌적 요인을 표시하는 항목을 포함한다. TSV는 주관적인 값이므로 데이터의 일관성 및 변화 양상을 확인하고자 측정 빈도를 늘려 2분 간격으로 수집되었다.
3. 동적 착의량 산출 실험 결과
Table 3.의 제어방법 3가지를 적용해 실내 온열환경 제어 실험을 수행하였다. 피실험자는 실험에 참여하는 동안 스케줄에 따라 정해진 의복(Table 2.)을 차례대로 착의하였다.
3가지 제어방법 중 Mode 3은 이미지를 통해 사람이 입고 있는 의복의 종류를 감지 및 분류하는 착의량 산출 모델을 활용한다. Fig. 6.은 의복조합(E1~E5)에 대하여 모델이 의복을 감지 및 분류한 예시로, 남녀 피실험자를 구분하여 보여준다. 예시와 같이 해당 모델은 15초마다 피실험자의 의복을 분류해 10분 동안 누적된 데이터 중 빈도가 높게 나타난 의복조합을 선택해 착의량을 출력한다.
피실험자 6명의 동적 착의량 산출 결과 발생한 산출 오차는 Table 5.와 같다. 남성 피실험자(A, C, D)의 경우 모든 의복조합에 대해 착의량을 정확히 산출한 반면, 여성 피실험자의 경우 E1, E5 의복은 각각 0.38 clo, 1.04 clo로 착의량을 정확히 산출하였으나, E2~E4는 오차가 발생하였다. E2~E4의 각 의복조합에 대한 최대 오차는 각각 0.07 clo, 0.11 clo, 0.06 clo로 나타났으며, B 피실험자에서 오차 발생 빈도가 높았다. 주된 원인은 머리카락 또는 테블릿 PC 등이 의복을 가려 분류 오차가 발생한 것으로 파악되었다.
이와 같은 착의량 산출 오차로 인해 Mode 3 제어의 경우 PMV 값과 제어 시점의 설정 온도 선정에 영향을 미칠 수 있다. 하지만 착의량 산출에 있어 0.11 clo 이하의 오차가 발생하더라도 기존의 방식을 그대로 적용하는 Mode 1, 2와 비교하여 동적 착의량 반영이 열환경 및 열쾌적에 미치는 영향을 분석할 필요가 있다.
4. 열환경 제어 결과 분석
4.1. 실내 온열환경 평가
제어변수에 따른 세 가지 제어 Mode 1~3에 대한 실험을 통해 실내 온열환경 평가를 수행하였다. 온열환경 평가는 실내온도 및 평균복사온도의 영향을 종합적으로 고려할 수 있는 작용온도(operative temperature) 및 재실자의 개인변수를 모두 고려한 PMV로 분석하였으며, 그 결과는 Fig. 7.과 같다.
Fig. 7.은 실험 데이터를 토대로 제어방법에 따른 작용온도 및 PMV 평균값을 보여주며 의복조합에 따라 구분하여 나타냈다. Mode 1은 25℃의 설정온도 제어를 수행하므로 의복조합과 상관없이 작용온도는 평균 24.9℃를 나타냈다. Mode 2의 경우 고정 착의량(0.5 clo)을 반영한 PMV 값을 제어변수로 사용했기 때문에 의복조합 변화와 상관없이 환경변수만 고려했으며, 실내온도 제어 신호는 모든 상황에서 26℃로 설정되었다. 이로 인해 Mode 2의 작용온도는 의복조합에 따른 변화가 크지 않으며 Mode 1보다 높은 25.5℃를 나타냈다.
동적 착의량을 반영한 Mode 3은 착의량에 따라 실내온도 설정값이 23℃~28℃의 범위에서 결정되었다. 따라서, Mode 3의 경우 의복조합에 따라 실내 작용온도 변화가 크게 나타났다. 착의량이 가장 낮은 E1(0.38 clo)은 평균 25.8℃, 착의량이 가장 높은 E5(1.04 clo)는 평균 24.2℃로 다른 제어방법과 비교했을 때 온도차가 두드러지게 나타났다.
세 가지 제어방법 모두 재실자의 평균 PMV는 착의량에 비례하게 증가했다. 제어방법에 따라 PMV 변화 정도는 차이가 있으며, Mode 1과 2는 의복조합에 따라 PMV가 최대 1.2 이상 차이가 발생했다. 반면, Mode 3은 PMV 차이가 최대 0.66으로 다른 방법과 비교하여 절반 수준으로 나타났다.
고정 착의량 0.5 clo와 근사한 E2의 경우 Mode 2와 3의 PMV는 비슷하게 나타났으며, E2를 제외한 모든 의복조합의 경우 Mode 3에서 PMV가 0에 가장 가깝게 제어되었다. 착의량이 가장 낮은 의복조합인 E1(0.38 clo)일 때 Mode 3의 경우 PMV –0.34로 중립 상태에 가장 가깝게 제어되었으나, Mode 1은 PMV –0.64로 쾌적범위(-0.5<PMV<0.5)를 가장 크게 벗어나는 수치를 보였다. 또한, 착의량이 가장 높은 의복조합인 E5(1.04 clo)의 경우 Mode 3은 PMV 0.32로 쾌적범위를 유지하였다. 하지만, Mode 1과 2는 각각 PMV 0.55와 0.77로 도출되며 쾌적범위를 벗어나며 재실자에게 다소 더운 환경을 제공할 수 있음을 확인하였다.
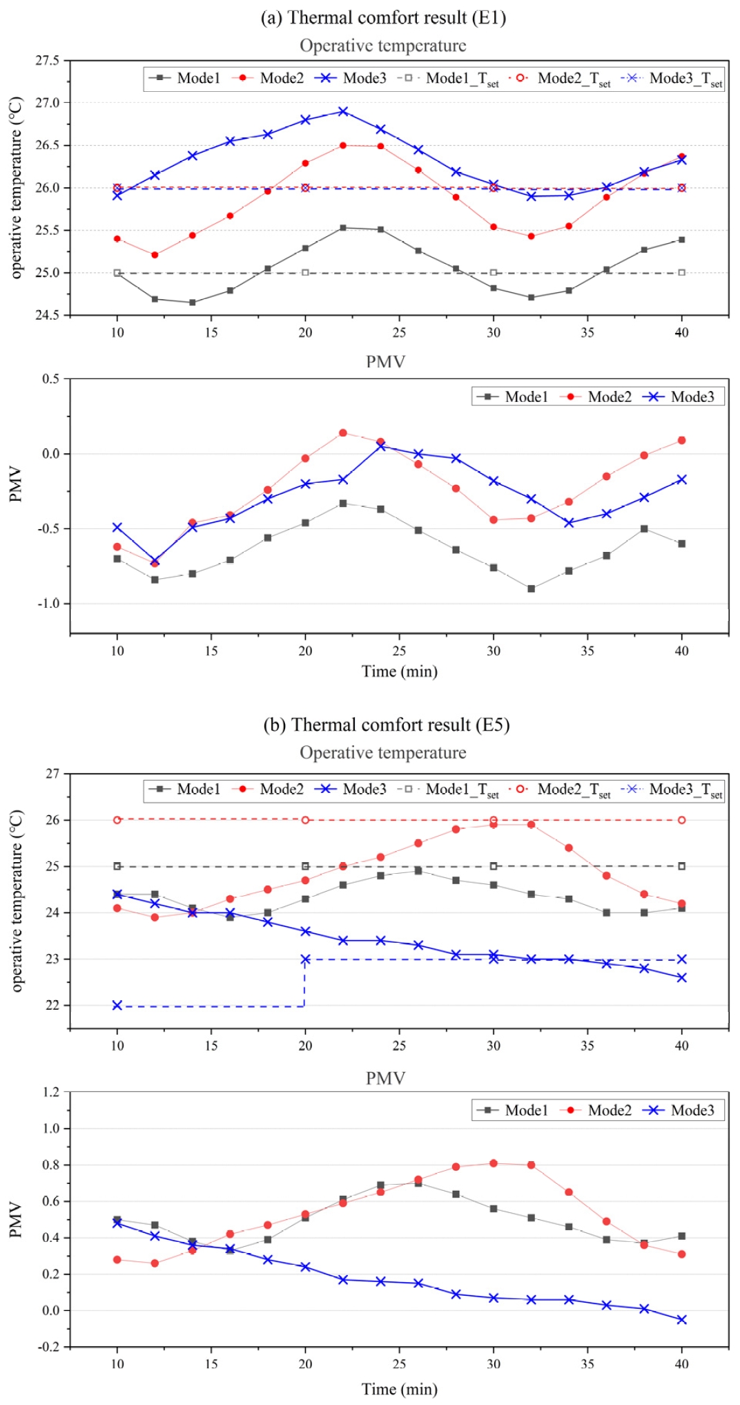
시간대별 실험 결과를 자세히 분석하기 위해 Fig. 7.을 예로써 제시하였다. Fig. 8.은 착의량 차이가 가장 큰 E1과 E5의 제어방법 별 분 단위 변화를 나타낸 그래프로 Fig. 7.(a)는 E1에 대한 피실험자 E의 실험 결과이며, Fig. 7.(b)는 E5에 대한 피실험자 C의 실험 결과를 나타냈다. 해당하는 두 피실험자는 3장의 결과에서 보여준 바와 같이 실험 중 동적 착의량이 모두 정확히 산출된 경우에 해당한다. 실선 그래프는 제어방법 별 작용온도 및 PMV 변화를 2분 간격으로 각각 나타냈으며 점선 그래프는 10, 20, 30분에 전송된 제어 온도를 의미한다.
E1의 경우 Mode 1은 25℃ 설정온도 제어를 수행하였으며, Mode 2와 3은 PMV 값에 따라 3번의 제어 신호 모두 26℃로 설정되었다. 이때, Mode 2는 0.5 clo, Mode 3은 0.38 clo의 착의량을 반영해 PMV가 산출되었으나 실내온도는 동일하게 제어된 것을 확인할 수 있다.
각 방법으로 제어된 실내환경에서 취득한 환경변수 및 개인변수를 통해 재실자의 PMV를 산출한 결과, Mode 1의 평균 PMV는 –0.63으로 쾌적범위를 벗어나며 20분~24분 시간대를 제외하고 모두 PMV –0.5보다 낮은 환경을 조성함을 알 수 있다. Mode 2와 3은 동일 설정온도로 제어되었기에 평균 PMV는 각각 –0.24, -0.29로 쾌적범위를 만족하였다.
E5의 경우, Mode 1은 25℃로 제어되었으며, Mode 2는 26℃, Mode 3은 22℃~23℃의 온도 범위에서 제어되었다. 설정 온도에 따라 제어방법 별 작용온도는 Mode2가 가장 높았으며, Mode 3은 지속적으로 온도가 낮아졌다. 이로 인한 재실자의 평균 PMV는 Mode 1의 경우 0.50, Mode 2는 0.53으로 유사하게 나타났고, Mode 3은 0.18로 0에 가장 가까운 수치를 보였다. 분 단위로 살펴보면, Mode1과 2는 실험 수행 후 20분부터 약 12분 이상 PMV가 0.5 이상의 수치를 나타냈으며 최대 0.8까지 도달하였다. 반면, Mode 3은 전체 시간대에서 PMV 쾌적범위를 유지하였으며 기존 두 제어방법 대비 쾌적범위 만족률이 높게 나타날 수 있음을 확인하였다.
제어방법에 따른 평균 작용온도 및 PMV 분석을 통해 Mode 3은 착의량을 고려한 온도 제어가 가능하며 PMV 쾌적범위 내에서 열환경 조성이 가능함을 확인하였다. 또한, 이는 기존 두 제어방법보다 열 쾌적성이 향상된 실내환경 조성이 가능함을 보인다.
4.2. 열쾌적 평가
4.1장에서는 온열환경 데이터 분석을 통해 동적 착의량을 반영할 경우 PMV가 쾌적범위를 유지하도록 제어 가능함을 확인하였다. 이때, 조성된 환경에서 실제 피실험자가 느끼는 열쾌적 정도를 함께 분석하였다.
제어방법에 따른 평균 TSV는 Fig. 9.와 같으며, 5가지 착의량에 대한 결과를 순서대로 보여준다. 이때, 피실험자 B와 E는 다른 피실험자와 비교해 상대적 온열감이 -1로 추위를 약간 더 많이 타는 것을 Table 4.에서 확인하였다. 따라서, 피실험자의 상대적 온열감이 동일한 그룹으로 구분하여 결과를 나타냈다. Fig. 9.(a)는 선행실험에서 상대적 온열감이 쾌적함(Thermal sensation: 0)을 나타낸 A, C, D, F의 결과를, Fig. 9.(b)는 상대적 온열감이 약간 추움(Thermal sensation: –1)을 나타낸 B, E의 결과를 나타낸다.
착의량 변화에 따른 TSV 추세는 Fig. 9.(a)와 (b)에서 유사하게 나타났다. Fig. 9.(a)의 경우 제어방법에 상관없이 피실험자의 온열감은 전체적으로 쾌적범위 내에서 유지되었으나, 착의량이 높아질수록 Mode 1과 2의 TSV 값은 증가하였다. Mode 1과 2의 최대-최소 TSV 값 차이는 각각 0.39, 0.54인 반면, Mode 3은 착의량 값에 따른 TSV 변동 폭은 0.19 수준으로 기존 제어방법 대비 일정한 쾌적감을 나타냈다.
Fig. 9.(b)의 경우, Mode 1과 2의 최대-최소 TSV 값 차이는 각각 1.25, 1.08로 1.0이 넘게 나타났으며, Mode 3의 착의량 값에 따른 TSV는 최대 0.46의 차이를 보인다. Mode 1과 2에 비해 Mode 3의 TSV 변화 폭은 두 배 이상 적게 나타났으나, 피실험자의 상대적 온열감이 낮아 TSV 수치는 Fig. 9.(a)에 비해 전체적으로 더 낮게 나타났다. 또한, 상대적 온열감이 낮은 피실험자는 실내온도 및 착의량에 따른 온열감 변화에 더 민감하게 반응하는 것을 알 수 있다.
종합적으로, 피실험자의 열쾌적과 온열환경 평가 결과를 비교했을 때, 착의량 변화에 따른 각 제어방법의 PMV와 TSV의 추세는 유사하게 나타난 것을 확인할 수 있다. 다만 피실험자의 상대적 온열감에 따라 동적 착의량을 고려하더라도 쾌적범위를 벗어나는 수치를 보일 수 있다는 것을 확인하였다.
5. 결론
본 연구의 목적은 동적 착의량을 반영한 PMV 기반 열환경 제어를 통해 재실자의 열쾌적을 평가하여 정확한 착의량을 토대로 쾌적한 열환경 제공의 가능성을 확인하는 것이다. 이를 위해 실내환경을 구현한 Test-bed를 기반으로 제어 실험을 수행하였으며, 기존 현장에서 보편적으로 적용되는 제어방법과 비교해 열환경 및 열쾌적을 분석하였다.
실험은 6명의 피실험자를 대상으로 진행했으며, 동일한 의복 조건에서 제어 변수를 Mode 1: 설정온도, Mode 2: 고정 착의량(0.5 clo) 기반 PMV, Mode 3: 동적 착의량 기반 PMV를 각각 적용해 열환경 제어를 수행하였다. 실험 결과는 다음과 같다.
실험 중 동적 착의량 산출 결과는 남성 피실험자의 의복에 대해 100% 정확히 산출하였으나, 여성 피실험자는 일부 의복에서 오차가 발생하였다. 평균 오차는 약 0.07 clo로 머리카락 및 주변 사물에 의해 의복이 가려지는 문제가 주된 원인으로 파악되었다.
실험 결과, 기존 제어방법인 Mode 1과 2는 의복 변화와 상관없이 실내 설정온도가 일정하게 제어되었으나, Mode 3은 의복 변화를 고려한 제어를 수행하기 때문에 착의량이 높아질수록 실내온도를 낮게 조성하였다. 또한, 실제 피실험자의 PMV 도출 결과, Mode 3의 경우 모든 의복조합에서 PMV 쾌적범위를 만족하는 제어가 가능함을 확인했다. 즉, Mode 3은 PMV 측면에서 다른 제어방법보다 쾌적한 환경 조성이 가능함을 알 수 있다.
이러한 실험 결과가 재실자의 실제 열쾌적을 반영하는지 확인하기 위해 피실험자의 TSV와 비교 분석하였다. TSV 분석 결과, 의복에 따른 TSV 변화 폭은 Mode 3에서 가장 일정하게 나타났으며, 실험 시 도출한 PMV 결과와 유사한 추이를 나타냈다. 하지만 상대적 온열감이 낮은 피실험자의 경우 동적 착의량을 고려하더라도 다소 추운(slightly cool) 환경이 조성될 수 있음을 함께 확인하였다. 따라서, 실제 제어 시에 재실자의 상대적 온열감을 고려한 설정온도 보정계수 적용이 필요할 것으로 판단된다.
본 연구를 통해 동적 착의량을 반영한 PMV를 제어변수로 사용할 경우 재실자의 PMV 쾌적범위를 만족하도록 제어가 가능함을 확인하였으며, 실제 재실자의 열쾌적은 PMV 변화와 유사한 것을 확인하였다. 또한, 동적 착의량 산출에 약간의 오차가 발생하더라도 Mode 3이 기존 제어방법 보다 PMV 쾌적범위를 유지하는데 더 유리함을 확인하였다.
본 실험에서는 의복조합을 5가지로 한정하였으나, 의복 종류를 증가시켜 착의량 편차를 더 크게 할수록 기존 방법 대비 열쾌적 변화는 더 분명하게 나타날 것으로 판단된다. 또한, 피실험자의 수는 6명으로 보다 일반화된 결과 도출을 위해 지속적으로 실험을 수행할 예정이며, 단일 재실자 대상의 실험 결과를 토대로 다중 재실자에 대한 리빙랩 평가를 수행할 예정이다. 추가적으로 향후에는 재실자 맞춤 쾌적 환경 조성에 따른 에너지 변화도 함께 분석할 필요가 있다.
Acknowledgments
이 논문은 정부(과학기술정보통신부)의 재원으로 한국연구재단의 지원을 받아 수행된 연구임(No. 2019R1A2C1084145).
Reference
-
Z. Wang et al., Individual difference in thermal comfort: A literature review, Building and Environment, 138, 2018, pp.181-193.
[https://doi.org/10.1016/j.buildenv.2018.04.040]
-
J. Xie et al., Review on occupant-centric thermal comfort sensing, predicting, and controlling, Energy and Buildings, 2020, 110392.
[https://doi.org/10.1016/j.enbuild.2020.110392]
-
G. S. Brager, R.J. de Dear, Thermal adaptation in the built environment: a literature review, Energy and buildings, 27(1), 1998, pp.83-96.
[https://doi.org/10.1016/S0378-7788(97)00053-4]
- R. de Dear, G. S. Brager, Developing an adaptive model of thermal comfort and preference, 1998.
-
Z. Pang et al., Nationwide HVAC energy-saving potential quantification for office buildings with occupant-centric controls in various climates, Applied Energy, 279, 2020, 115727.
[https://doi.org/10.1016/j.apenergy.2020.115727]
-
P. Anand et al., Occupancy-based zone-level VAV system control implications on thermal comfort, ventilation, indoor air quality and building energy efficiency, Energy and Buildings, 204, 2019, 109473.
[https://doi.org/10.1016/j.enbuild.2019.109473]
-
최은지 외 3인, 재실자 활동량 산출을 위한 Pose 분류 모델 개발, KIEAE Journal, 제18권 제5호, 2018, pp.93-98.
E.J. Choi et al., Development of a Human Pose Classifying Model to Estimate the Metabolic Rate of Occupant, KIEAE Journal, 18(5), 2018, pp.93-98. [ https://doi.org/10.12813/kieae.2018.18.5.093 ]
-
B. Dong et al., Modeling occupancy and behavior for better building design and operation—A critical review, In Building Simulation, 11(5) 2018.10, pp. 899-921.
[https://doi.org/10.1007/s12273-018-0452-x]
-
최은지 외 3인, 동적 착의량 반영에 따른 기후대별 실내 열쾌적 분석, KIEAE Journal, 제20권 제5호, 2020, pp,171-177.
E.J. Choi et al., Analysis of Indoor Thermal Comfort reflecting Dynamic Clothing Insulation in diverse Climate Zone, KIEAE Journal, 20(5), 2020, pp,171-177. [ https://doi.org/10.12813/kieae.2020.20.5.171 ]
-
W. O'Brien et al., Introducing IEA EBC Annex 79: Key challenges and opportunities in the field of occupant-centric building design and operation, Building and Environment, 178, 2020, 106738.
[https://doi.org/10.1016/j.buildenv.2020.106738]
-
J. Kim et al., Personal comfort models: Predicting individuals' thermal preference using occupant heating and cooling behavior and machine learning, Building and Environment, 129, 2018, pp.96-106.
[https://doi.org/10.1016/j.buildenv.2017.12.011]
-
M. Kong et al., HVAC energy savings, thermal comfort and air quality for occupant-centric control through a side-by-side experimental study, Applied Energy, 306, 2022, 117987.
[https://doi.org/10.1016/j.apenergy.2021.117987]
- S. Lu, C. E. Hameen, A. Aziz, Dynamic hvac operations with real-time vision-based occupant recognition system, In 2018 ASHRAE Winter Conference, Chicago, 2018.01.
- P.O. Fanger, Thermal Comfort, McGraw-Hill, NY. 1972.
- ASHRAE, ANSI/ASHRAE Standard 55-2020, Thermal Environmental Conditions For Human Occupancy, Atlanta, GA, 2020.
-
C. Zhong, J. H. Choi,. Development of a data-driven approach for human-based environmental control, Procedia Engineering, 205, 2017, pp.1665-1671.
[https://doi.org/10.1016/j.proeng.2017.10.341]
-
J. H. Choi, B. Loftness, Investigation of human body skin temperatures as a bio-signal to indicate overall thermal sensations, Building and Environment, 58, 2012, pp.258-269.
[https://doi.org/10.1016/j.buildenv.2012.07.003]
-
P. M. Ferreira et al., Neural networks based predictive control for thermal comfort and energy savings in public buildings, Energy and buildings, 55, 2012, pp.238-251.
[https://doi.org/10.1016/j.enbuild.2012.08.002]
-
W. T. Sung, S. J. Hsiao, The application of thermal comfort control based on Smart House System of IoT, Measurement, 149, 2020, 106997.
[https://doi.org/10.1016/j.measurement.2019.106997]
-
최은지 외 4인, 동적 착의량 기반 열환경 제어에 따른 주거환경 열쾌적 분석, 대한건축학회논문집, 제37권 제4호, 2021, pp.205-212.
E.J. Choi et al., Comparative Analysis of Indoor Thermal Comfort in a Residential Building by Applying Dynamic Clothing Insulation, Journal of the Architectural Institute of Korea, 37(4), 2021, pp.205-212. -
X. Xu, W. Liu, Z. Lian, Dynamic indoor comfort temperature settings based on the variation in clothing insulation and its energy-saving potential for an air-conditioning system, Energy and Buildings, 220, 2020, 110086.
[https://doi.org/10.1016/j.enbuild.2020.110086]
-
P.M. de Carvalho, M. G. da Silva, J. E. Ramos, Influence of weather and indoor climate on clothing of occupants in naturally ventilated school buildings, Building and environment, 59, 2013, pp.38-46.
[https://doi.org/10.1016/j.buildenv.2012.08.005]
- S. Schiavon, K.H. Lee, Predictive clothing insulation model based on outdoor air and indoor operative temperatures, In Proceedings of 7th Windsor Conference: The changing context of comfort in an unpredictable world , 1(1), 2012.12, pp.1-14.
-
K.H. Lee, S. Schiavon, Influence of three dynamic predictive clothing insulation models on building energy use, HVAC sizing and thermal comfort, Energies, 7(4), 2014, pp.1917-1934.
[https://doi.org/10.3390/en7041917]
- S. Lu, E. Cochran Hameen, Integrated IR Vision Sensor for Online Clothing Insulation Measurement, 2018.
-
J.H. Lee et al., Estimating clothing thermal insulation using an infrared camera, Sensors, 16(3), 2016, p.341.
[https://doi.org/10.3390/s16030341]
-
B. Pavlin et al., Real-time monitoring of occupants’ thermal comfort through infrared imaging: A preliminary study, Buildings, 7(1), 2017, 10.
[https://doi.org/10.3390/buildings7010010]
- H. Matsumoto, Y. Iwai, H. Ishiguro, Estimation of Thermal Comfort by Measuring Clo Value without Contact, In MVA, 2011.06, pp.491-494.
-
H. Choi et al., Vision-based estimation of clothing insulation for building control: A case study of residential buildings, Building and Environment, 2021, 108036.
[https://doi.org/10.1016/j.buildenv.2021.108036]
-
박보랑 외 3인, 건물 열 환경 쾌적 제어를 위한 이미지 인식 기반 착의량 산출 모델개발, 대한건축학회논문집, 제38권 제1호, 2022, pp.215-223.
B.R. Park et al., Development an Image Recognition-based Clothing Estimation model for Comfortable Building Thermal Controls, Journal of the Architectural Institute of Korea, 38(1), 2022, pp.215-223. - G. Jocher et al., YOLOv5, https://github.com/ultralytics/yolov5, , 2020, Accessed 06 Dec 2021.
- ISO, ISO 9920:2007, Ergonomics of the thermal environment — Estimation of thermal insulation and water vapour resistance of a clothing ensemble, 2007.









